Maple Nierówności Matematyczne: Jak Rozwiązywać Równania i Nierówności?
Rozwiązywanie równań i nierówności matematycznych w Maple. Praktyczne wskazówki i metody. Zastosowanie w finansach i życiu codziennym.
Maple Nierówności Matematyczne: Jak Rozwiązywać Równania i Nierówności?
Rozwiązywanie równań i nierówności matematycznych w Maple. Praktyczne wskazówki i metody. Zastosowanie w finansach i życiu codziennym.
Maple - tabele i tablice
Odkryj potęgę Maple w zarządzaniu danymi tabel i tablic. Twórz, analizuj i manipuluj danymi numerycznymi i symbolicznymi.
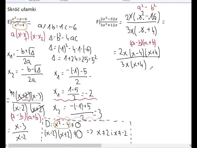
Maple Wyrażenia algebraiczne - Podstawy i zastosowania
W tym artykule dowiesz się o podstawach i zastosowaniach wyrażeń algebraicznych w Maple. Odkryj potęgę matematyki i analizuj je za pomocą tego potężnego narzędzia obliczeniowego.
Podstawy Programu Maple: Opanuj Podstawy Oprogramowania Maple
Niniejszy artykuł jest obszernym przewodnikiem po oprogramowaniu Maple, które jest potężnym narzędziem matematycznym. Oferuje ono wszechstronne możliwości rozwiązywania, analizowania i wizualizacji problemów matematycznych. Dzięki swojemu szerokiemu zakresowi funkcji i narzędzi.
Rozkład Wyrażenia Wymiernego na Ułamki Proste: Upraszczanie Skomplikowanych Wyrażeń na Proste Ułamki
Rozkład Wyrażenia Wymiernego na Ułamki Proste: Upraszczanie Skomplikowanych Wyrażeń na Proste Ułamki
Maple składanie funkcji: Wprowadzenie do tworzenia i wykorzystywania funkcji w programie Maple
Czytaj o "maple składanie funkcji" w programie Maple. Dowiedz się, jak tworzyć i wykorzystywać funkcje w Maple do rozwiązywania problemów matematycznych. Twórz wykresy, obliczaj całki i więcej! Poznaj również odpowiedzi na często zadawane pytania. Zainstaluj Maple i rozwijaj swoje umiejętności matematyczne!