
Jak łatwo obliczyć udział procentowy w Excelu: 5 szybkich metod
Poznaj 5 prostych metod obliczania udziału procentowego w Excelu. Naucz się używać formuł, funkcji SUMA i zaawansowanych technik. Zwiększ efektywność pracy z arkuszami kalkulacyjnymi!

Poznaj 5 prostych metod obliczania udziału procentowego w Excelu. Naucz się używać formuł, funkcji SUMA i zaawansowanych technik. Zwiększ efektywność pracy z arkuszami kalkulacyjnymi!

Poznaj wpływ światowych notowań giełdowych na Twój portfel inwestycyjny. Dowiedz się, jak giełda notowania świat kształtują wartość inwestycji i jak skutecznie zarządzać ryzykiem na globalnych rynkach.

Szukasz pewnej drogi do kariery w IT? Sprawdź kursy programowania z gwarancją pracy. Zdobądź umiejętności, certyfikat i pewne zatrudnienie w branży IT. Rozpocznij swoją przygodę już dziś!

Poznaj najważniejsze skróty klawiszowe w Photoshopie, które znacząco przyspieszą i usprawnią Twoją pracę. Jakie kluczowe kombinacje klawiszy warto znać? Jak skróty pomagają w nawigacji, zaznaczaniu i transformacji? Przeczytaj poradnik.

Dowiedz się, gdzie zgłosić próbę wyłudzenia pieniędzy lub danych osobowych. Poznaj kluczowe instytucje i kroki, które pomogą Ci skutecznie bronić się przed oszustami, także w przypadku prób przez telefon.

Poznaj funkcję LICZ.JEŻELI w Excelu i naucz się efektywnie analizować dane. Dowiedz się, jak stosować tę formułę statystyczną do zliczania komórek i optymalizacji arkuszy kalkulacyjnych.

Jak skutecznie pozbyć się irytujących duplikatów w arkuszach Excela? Pokażemy krok po kroku, jak znaleźć i usunąć powielone wiersze, kolumny i komórki, wykorzystując opcje takie jak Usuń duplikaty, filtry, funkcje czy warunkowe formatowanie.

Rozwiązywanie równań i nierówności matematycznych w Maple. Praktyczne wskazówki i metody. Zastosowanie w finansach i życiu codziennym.

W tym artykule dowiesz się o podstawach i zastosowaniach wyrażeń algebraicznych w Maple. Odkryj potęgę matematyki i analizuj je za pomocą tego potężnego narzędzia obliczeniowego.

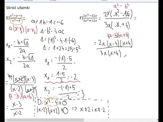
Rozkład Wyrażenia Wymiernego na Ułamki Proste: Upraszczanie Skomplikowanych Wyrażeń na Proste Ułamki