
Maple - tabele i tablice
Odkryj potęgę Maple w zarządzaniu danymi tabel i tablic. Twórz, analizuj i manipuluj danymi numerycznymi i symbolicznymi.
Cześć, jestem Antoni i pasja do edukacji towarzyszy mi od zawsze. Na tym blogu o edukacji i nauce będę dzielić się wiedzą i inspiracjami, które pomogą Ci rozwijać się i odkrywać fascynujący świat nauki. Przeszukuję najnowsze trendy edukacyjne i dostarczam Ci sprawdzone informacje oraz praktyczne wskazówki. Razem będziemy eksplorować różnorodne dziedziny nauki i razem odkrywać, jak rozwijać swoje umiejętności i pasje.

Odkryj potęgę Maple w zarządzaniu danymi tabel i tablic. Twórz, analizuj i manipuluj danymi numerycznymi i symbolicznymi.

W tym artykule dowiesz się o podstawach i zastosowaniach wyrażeń algebraicznych w Maple. Odkryj potęgę matematyki i analizuj je za pomocą tego potężnego narzędzia obliczeniowego.

Niniejszy artykuł jest obszernym przewodnikiem po oprogramowaniu Maple, które jest potężnym narzędziem matematycznym. Oferuje ono wszechstronne możliwości rozwiązywania, analizowania i wizualizacji problemów matematycznych. Dzięki swojemu szerokiemu zakresowi funkcji i narzędzi.

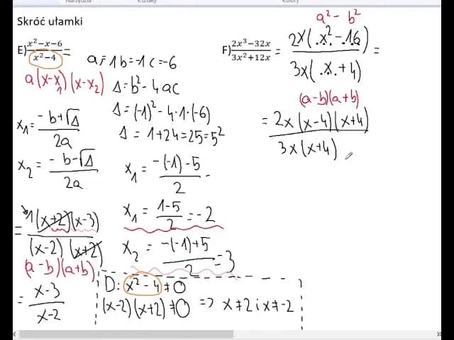
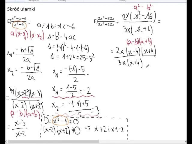
Rozkład Wyrażenia Wymiernego na Ułamki Proste: Upraszczanie Skomplikowanych Wyrażeń na Proste Ułamki

Czytaj o "maple składanie funkcji" w programie Maple. Dowiedz się, jak tworzyć i wykorzystywać funkcje w Maple do rozwiązywania problemów matematycznych. Twórz wykresy, obliczaj całki i więcej! Poznaj również odpowiedzi na często zadawane pytania. Zainstaluj Maple i rozwijaj swoje umiejętności matematyczne!

Jak przygotować się do testu z Excelem na rozmowie kwalifikacyjnej? Przeczytaj artykuł, aby poznać sprawdzane umiejętności, przykładowe zadania i wskazówki eksperta. Dowiedz się, jak zdać test z arkusza kalkulacyjnego.

Poznaj wpływ 3 filarów emerytalnych na Twoją przyszłość finansową. Dowiedz się, jak ZUS, OFE oraz IKE i IKZE kształtują Twoje oszczędności emerytalne i zabezpieczają finanse na starość.

Naucz się tworzyć profesjonalny podpis w Outlook. Krok po kroku pokażemy, jak ustawić, edytować i formatować stopkę mailową, aby zwiększyć efektywność komunikacji.

Analiza akcji Eurocash na giełdzie - odkryj potencjał inwestycyjny spółki. Sprawdź notowania, kurs i perspektywy rozwoju lidera dystrybucji FMCG w Polsce.

Dla wielu osób, które kochają dzieci i chcą aktywnie uczestniczyć w ich rozwoju, praca opiekuna w żłobku jest doskonałą ścieżką kariery. Co więcej, dzięki nowoczesnym rozwiązaniom, zdobycie odpowiednich uprawnień jest teraz łatwiejsze niż kiedykolwiek – można je uzyskać poprzez kurs opiekuna w żłobku online.